Dalam posting ini adalah tugas pembuatan animasi 2D dengan teknik morphing, teknik dalam pemrograman komputer yang telah populer dari tahun 80-an. Teknik morphing telah banyak digunakan dalam berbagai aspek kehidupan manusia seperti hiburan, industri dan pendidikan. Banyak iklan di televisi yang telah menggunakan teknik ini. Karena teknik morphing memiliki kelebihan yang sangat menarik perhatian.
Contoh tampilan animasi sederhana buatan saya dengan teknik morphing. Semoga sedikit memberi inspirasi buat teman-teman
Mau download? ini link buat download contoh animasi saya. : http://www.mediafire.com/?9w79jbwalk8qpb1
Ricardo ifud Leite
Minggu, 04 Desember 2011
Perubahan Bentuk (Morphing) pada Komputer Grafik
Morphing adalah perubahan bentuk obyek gambar secara bertahap. Morphing merupakan salah satu teknik yang banyak digunakan dalam dunia entertainment karena efek dari morphing ini sangat menarik untuk diamati. Morphing memerlukan dua gambar, yaitu gambar awal dan gambar akhir. Morphing digunakan untuk membuat gambar yang merupakan gambar perubahan setiap satuan waktu dari gambar asal ke gambar hasil. Morphing secara sederhana dapat dilakukan dengan menggunakan interpolasi linier.
Contoh Morphing :
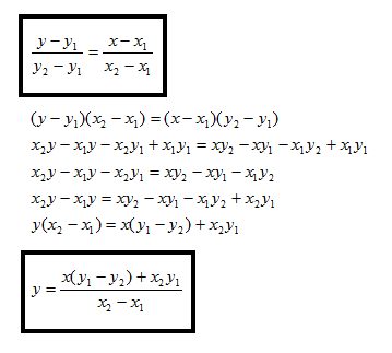
Rumus Interpolasi Linier :
Morphing suatu obyek gambar adalah hasil perubahan pada setiap titiknya, atau dengan kata lain morphing adalah suatu proses perubahan koordinat x dan y pada setiap titik dalam sebuah objek sehingga menjadi objek yang baru. Berikut ini contoh proses morphing pada suatu objek.
Pada gambar diatas terlihat jelas proses perubahan titik, contohnya dari titik a1 berubah menjadi titik a’ dan selanjutnya menjadi titik a2. Misalkan obyek yang berada diantara obyek awal dan obyek tujuan adalah hasil morphing pada iterasi ke-n. Maka untuk mencari koordinat x dan y pada titik a’ digunakan rumus berikut :
Untuk titik-titik yang lain juga diproses dengan rumus yang sama seperti diatas. Nilai dari n tersebut juga akan terus bertambah sampai koordinat x dan y pada suatu titik obyek tujuan tersebut dipenuhi.
Pseudocode Algoritma pada fungsi interpolasi linier :
function interpolasi_linier(x1 : integer,x2 : integer,y1 : integer,y2 : integer,x : integer):integer
var y:integer;
begin
y:=(x(y1-y2)-(x1*y2)+(x2*y1))/(x2-x1);
interpolasi_linier:=y;
end
Sekian Dan terima kasih...
Thanks to : http://alf1ansy4h.wordpress.com/
Contoh Morphing :
Rumus Interpolasi Linier :
Morphing suatu obyek gambar adalah hasil perubahan pada setiap titiknya, atau dengan kata lain morphing adalah suatu proses perubahan koordinat x dan y pada setiap titik dalam sebuah objek sehingga menjadi objek yang baru. Berikut ini contoh proses morphing pada suatu objek.
Pada gambar diatas terlihat jelas proses perubahan titik, contohnya dari titik a1 berubah menjadi titik a’ dan selanjutnya menjadi titik a2. Misalkan obyek yang berada diantara obyek awal dan obyek tujuan adalah hasil morphing pada iterasi ke-n. Maka untuk mencari koordinat x dan y pada titik a’ digunakan rumus berikut :
Untuk titik-titik yang lain juga diproses dengan rumus yang sama seperti diatas. Nilai dari n tersebut juga akan terus bertambah sampai koordinat x dan y pada suatu titik obyek tujuan tersebut dipenuhi.
Pseudocode Algoritma pada fungsi interpolasi linier :
function interpolasi_linier(x1 : integer,x2 : integer,y1 : integer,y2 : integer,x : integer):integer
var y:integer;
begin
y:=(x(y1-y2)-(x1*y2)+(x2*y1))/(x2-x1);
interpolasi_linier:=y;
end
Sekian Dan terima kasih...
Thanks to : http://alf1ansy4h.wordpress.com/
Sabtu, 15 Oktober 2011
Program chekerboard OpenGL 2D (Program Papan catur)
Tugas Program chekerboard OpenGL 2D
(Detail tentang tugas ini silahkan baca keterangan dibawah ini)
1. Buat kotak bujur-sangkar dengan ukuran x,y (10,10) sejumlah = (9 baris x 9 kolom)
2. Ukuran jendela (window size)=(800×800) => dirubah (720x720)*
3. Posisi jendela (Window_position)=(100,100) => dirubah (80,80)*
4. Caption = Tugas OpenGl 2D_NRP(lengkap)
5. Isi bujur-sangkar dengan 3 digit terakhir dari NRP anda
6. Diantara 3 digit NRP dipisahkan dengan melukiskan gambar/simbol unik yang menjadi khas anda (harus beda tiap mahasiswa)
7. Warna Background dari masing2 bujursangkar bergantian warna merah dan putih (baik baris maupun kolomnya) => diganti Putih dan Hitam**
8 .Angka NRP didalam kotak bujur-sangkar gunakan warna biru. => diganti warna Merah**
Nb. * Karena layarnya tidak sesuai. dan saya rasa 720 lebih pas.
* Sesuai tugas yang di berikan dikelas KomGraf A. (berbeda dengan yang diminta di sumber tugas dari blog)
Sumber tugas : http://iftrunojoyo.wordpress.com/2011/10/14/tugas-pra-uts-1/
ini adalah hasil running program saya :
![]() |
| Contoh program chekerboard OpenGL 2D klik gambar untuk memperbesar |
Harap lapor kalo linknya rusak. ntar saya reupload. biasalah.. akun gratisan..
Alhamdulilah yah..
Sekian dan terimakasih...
Langganan:
Postingan (Atom)







